Λόγω της συμμετοχής των Ελεγκτών Εναέριας Κυκλοφορίας στην 24ωρη γενική απεργία που εξήγγειλε η ΑΔΕΔΥ
Λόγω συμμετοχής της Ένωσης Ελεγκτών Εναέριας Κυκλοφορίας Ελλάδος (ΕΕΕΚΕ) στην 24ωρη γενική απεργία που εξήγγειλε η ΑΔΕΔΥ την Τετάρτη 9 Απριλίου 2025, από 00:01 έως 24:00 τοπική ώρα, η SKY express υποχρεούται να προβεί στην ακύρωση και τροποποίηση όλων των προγραμματισμένων πτήσεων της τόσο στο δίκτυο του εσωτερικού όσο και εκείνο του εξωτερικού.
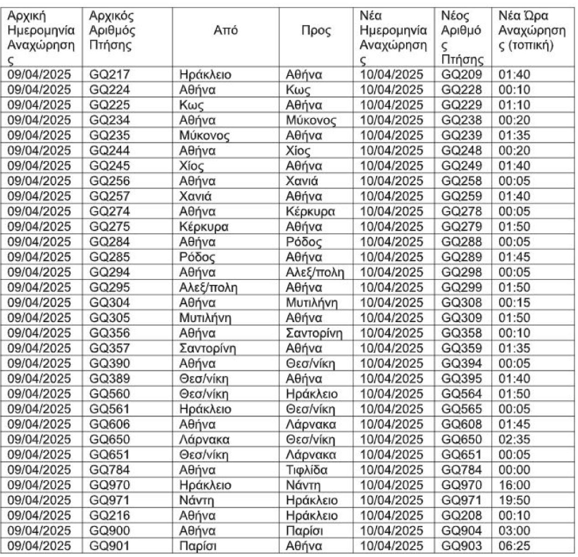
Συγκεκριμένα, όλες οι προγραμματισμένες πτήσεις στις 09 Απριλίου 2025 ακυρώνονται, εκτός από τις παρακάτω οι οποίες θα πραγματοποιηθούν με τις εξής τροποποιήσεις:


Επιπλέον, στον παρακάτω πίνακα, μπορείτε να βρείτε τις πτήσεις, που η ώρα τους τροποποιείται:

Οι επιβάτες των υπολοίπων πτήσεων έχετε τη δυνατότητα να προχωρήσετε σε μια από τις διαθέσιμες επιλογές, όπως αυτές περιγράφονται παρακάτω:
Α. Δωρεάν αλλαγή του εισιτηρίου σας με νέα ημερομηνία ταξιδιού μέχρι τις 30/11/2025.
Στο www.skyexpress.com επιλέγετε Η ΚΡΑΤΗΣΗ ΜΟΥ.
Συμπληρώνετε τον κωδικό κράτησης και το επώνυμό σας.
Στην εμφανιζόμενη σελίδα διαχείρισης της κράτησης σας επιλέγετε ΑΛΛΑΓΗ ΠΤΗΣΗΣ (δείτε παρακάτω):

Επιλέγετε την νέα επιθυμητή ημερομηνία ταξιδιού σας έως 30/11/2025.
Στη συνέχεια επιλέγετε την επιθυμητή ώρα πτήσης με τον ίδιο ναύλο που είχε η αρχική κράτησή σας. Προσοχή: Θα πρέπει να επιλέξετε τον ίδιο ναύλο με αυτό της αρχικής σας κράτησης ώστε να διατηρήσετε τις ίδιες υπηρεσίες. Αν δεν υπάρχει διαθεσιμότητα παρακαλούμε επιλέξτε την αμέσως επόμενη κατηγορία ναύλου.
Έπειτα επιλέγετε ΕΠΙΒΕΒΑΙΩΣΗ & ΑΠΟΘΗΚΕΥΣΗ ΑΛΛΑΓΩΝ.
H συγκεκριμένη αλλαγή θα πρέπει να έχει πραγματοποιηθεί έως τις 11/04/2025.
Β. Ακύρωση της κράτησης σας και έκδοση credit Voucher, που αντιστοιχεί στο ποσό του εισιτηρίου σας, με διάρκεια 12 μηνών.
Για τη συγκεκριμένη επιλογή στέλνετε email στο [email protected] γράφοντας στο θέμα τη λέξη “Voucher” και στο σώμα του κειμένου το ονοματεπώνυμό σας και τον αριθμό της κράτησής σας.
Σε περίπτωση που η κράτησή σας έχει πραγματοποιηθεί μέσω τουριστικού γραφείου, παρακαλούμε επικοινωνήστε με το αντίστοιχο σημείο εξυπηρέτησης.
ΕΙΔΗΣΕΙΣ ΣΗΜΕΡΑ:
- Κυκλοφοριακές ρυθμίσεις από Δευτέρα 20/4 στον αυτοκινητόδρομο Αθήνα – Θεσσαλονίκη – Εύζωνοι
- Κλιμακώνεται ξανά η ένταση στα Στενά του Ορμούζ
- Πετάει ο γάιδαρος; Πετάει λέει ο Γεωργιάδης, δεν πετάει λέει ο δικηγόρος Βασ. Σωτηρόπουλος
- Ο ισραηλινός στρατός σκότωσε δύο οδηγούς φορτηγών της UNICEF στη βόρεια Γάζα
- Στα άκρα ο Λαζαρίδης μετά την παραίτηση: Αναδημοσιεύσεις τρολ κατά της Νέας Δημοκρατίας και της Ντόρας Μπακογιάννη
- Στον Ευαγγελισμό η Μαρέβα Γκραμπόφσκι Μητσοτάκη – Υποβλήθηκε σε λαπαροτομία
- American Airlines: Βάζει τέλος στα σενάρια περί συγχώνευσης με την United Airlines
- ΕΔΕ για την αντιμετώπιση της Μυρτώς στο νοσοκομείο Κεφαλονιάς με εντολή Γεωργιάδη
Ακολουθήστε το financialreport.gr στο Google News και μάθετε πρώτοι όλες τις ειδήσεις








